
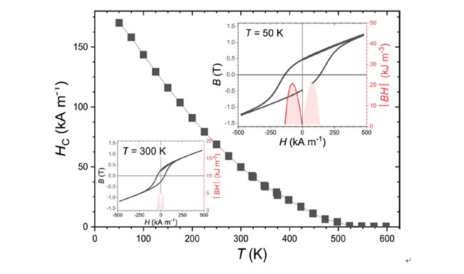
近日,物理与电子信息学院磁学与磁性材料团队、理论物理团队在相关研究领...
时间:2022年06月08日
焦燕教授领衔的“陆地生态系统碳氮循环与全球变化团队”一直致力于灌溉生...
时间:2022年05月27日
本网讯 近日,beat365化学与环境科学学院科研团队在多个研究领域取得重要进展...
时间:2022年05月26日
科技兴蒙 | beat365赴内蒙古和林格尔新区管理委员会、内蒙古中科超算科技有限...
时间:2022年05月25日
科技兴蒙 | 科技处(社科处)有关负责同志赴内蒙古大溪生物科技有限公司调...
时间:2022年05月25日
科技兴蒙 | 物理与电子信息学院积极推进自治区教育厅“一区两基地”项目落...
时间:2022年05月25日
揆古察今,志在所专。近日,beat365科学技术史研究院学术著作《中算家的计数...
时间:2022年05月18日